Câmara de Franca aprova projetos do PPA 2026–2029 e LDO 2026
Últimas atualizações sobre os acontecimentos do nosso município.
03 de setembro de 2025
A Câmara Municipal de Franca realizou, nesta terça-feira (2), a 35ª Sessão Ordinária do ano, com pauta exclusiva voltada à votação de duas das principais peças orçamentárias do município: o Plano Plurianual (PPA) 2026–2029 e a Lei de Diretrizes Orçamentárias (LDO) 2026.
As matérias, de autoria do prefeito Alexandre Ferreira (MDB), foram aprovadas em segundo turno, após já terem recebido aval em primeira votação no dia 26 de agosto. Ambas passaram também por audiências públicas de discussão.
A sessão teve início às 9h, com a fase de expediente, e a votação da Ordem do Dia ocorreu a partir das 14h.
Quase 500 emendas aprovadas
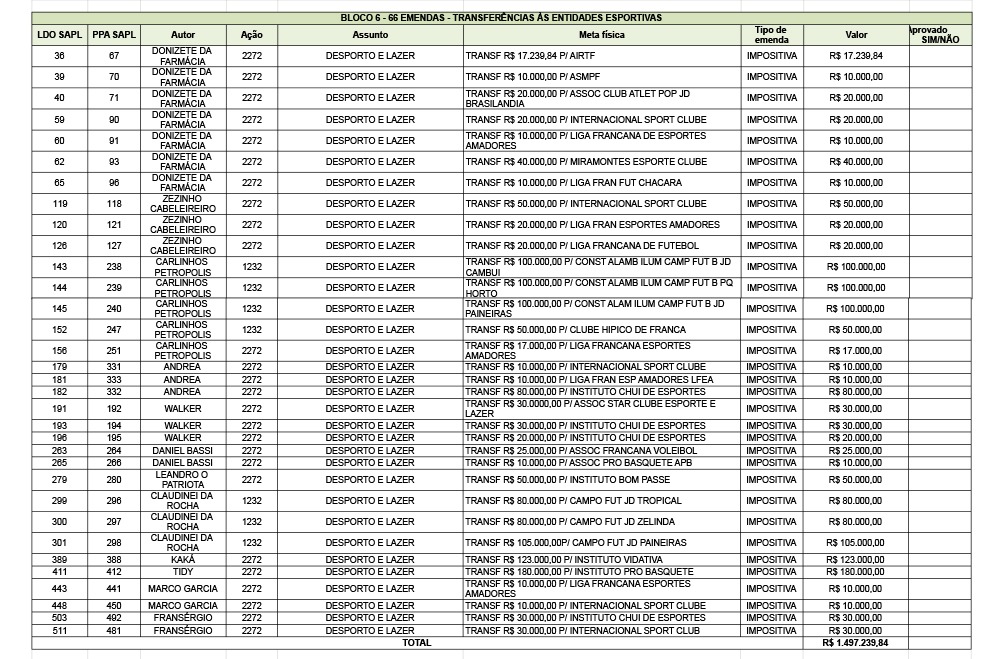
No total, os projetos incorporaram 483 emendas parlamentares: 482 de caráter orçamentário — divididas igualmente entre o PPA e a LDO — além de uma emenda de texto. As propostas foram debatidas em Audiência Pública realizada no dia 29 de agosto, no Plenário da Câmara.
Entre elas, destaque para as emendas impositivas, de execução obrigatória pelo Poder Executivo. O valor total aprovado foi de R$ 18.216.953,43, praticamente todo o limite disponível, de R$ 18.217.195,34 (equivalente a 1,2% da Receita Corrente Líquida prevista), dividido de forma igualitária entre os 15 vereadores. As emendas foram aprovadas em 23 blocos, conforme demonstrativo abaixo.
A emenda do bloco 24 nem chegou a entrar em votação, pois havia recebido parecer contrário:
Bloco 1
Bloco 2
Bloco 3
Bloco 4 e 5
Bloco 6
Bloco 7 e 8
Bloco 9
Bloco 10
Bloco 11
Bloco 12, 13, 14, 15 e 16
Bloco 17
Bloco 18, 19, 20 e 21
Bloco 22 e 23
Veja as fotos - CLIQUE AQUI
Veja como foi - CLIQUE AQUI
Notícias Relacionadas
Estado e Faepa fazem coletiva para esclarecer contratações do Hospital Regional Três Colinas
26 de fevereiro de 2026
Presidente do sindicato cobra valorização e critica descontos no vale-alimentação de servidores
24 de fevereiro de 2026
Walker Bombeiro da Libras denuncia problemas na educação e atrasos de empresas terceirizadas
24 de fevereiro de 2026
Gilson Pelizaro defende políticas públicas de prevenção à violência contra a mulher
24 de fevereiro de 2026
Zezinho cobra Sabesp, melhorias no trânsito e investimentos em campos esportivos
24 de fevereiro de 2026
Marcelo Tidy cobra rigor na fiscalização e critica falhas na zeladoria urbana
24 de fevereiro de 2026